老年臥床年燒百萬!醫揭「顧身體等於賺錢」4個面向提升身體機能

老年臥床年燒百萬!醫揭「顧身體等於賺錢」4個面向提升身體機能

2026/4/9
不少人年老都會買保健品、藥物,其實把身體顧好就是在賺錢。首爾峨山醫療中心老年醫學部醫師鄭熙元於《你也可以延緩衰老的速度》一書中,歸納來自醫學、社會學、心理學、經濟學的科研結果,提出一套融合延緩衰老、功能性飲食、結構化運動和心理健康的4M管理方案,幫助讀者為人生及早做好健康規劃。以下為原書摘文:

4個面向提升行動能力

想要有系統提高行動能力,運動是有效的辦法。但大多數人在日常生活中,除了走路外,幾乎不運動。醫生常建議病人多運動,但通常沒有提供具體方法,或許就連醫師自己都很少運動。有時,醫生的建議又讓人難以接受,畢竟因運動過度受傷的新聞時有所聞,讓人不免對運動產生畏懼。

不管什麼運動,最重要的,方法要正確,然後不要受傷。此外,運動也要多樣,不能偏食。有的人只熱愛跑步,有的人熱愛騎單車,其他運動都不感興趣。這樣過度投入單一運動,實際上反而可能加深身體的不平衡。

一般人可從4個重要面向,提升行動能力:

  • 有氧運動:涉及心肺功能、血管機能和肌肉代謝系統的健康。
  • 肌力與爆發力:與肌肉量及神經系統相關,神經系統負責將大腦的指令傳遞到全身肌肉。
  • 柔軟度:各種結締組織(包含肌肉)的使用方式,決定關節的安全活動範圍。
  • 平衡與協調:關鍵在於全身關節的順暢,尤其依賴中樞神經系統的功能。

延伸閱讀:
50歲開始學慢跑,要注意什麼?體能專家列「運動指南」養成慢跑習慣

投入金錢、時間和精力運動

身體最脆弱的部位會拖累其他系統的機能運動,加上人的慣性,脆弱的部位往往會變得更脆弱。當你運動時,你覺得不想做、感到最麻煩或不舒服的動作,通常與你最脆弱的部位有關。愈擅長的,就愈願意做;愈不擅長的,就愈討厭做,這是人之常情。

例如,喜歡游泳的人,如果上半身柔軟度不足,肌力也會不平衡,也就難以提升速度,不論游得多賣力都一樣。若能充分進行柔軟、平衡與協調的訓練,就能有效提高泳速。從事足球或跑步等運用下半身機能的運動也是如此。

在關節柔軟度與整體肌力不平衡的狀態下,運動愈頻繁,身體某些部位可能會變得過於強大,而其他部位則可能相對脆弱。這種不平衡會導致身體在運動過程中承受不均勻的壓力,進而導致受傷。中年之後受傷,身體機能通常會急劇下降。

運動時必須考量個體差異,沒有一種運動是適合所有人的。重要的是,我們必須改變對運動與行動能力的看法。讓專家檢查行動能力的各個方面,並學習解決不平衡問題非常重要。健康狀況較好的人可以向運動教練或運動管理師諮詢,而有疾病或傷勢的人則應求助物理治療師。

即使有豐富的運動經驗和知識,也可能難以發現自己身體的不平衡。在專家協助下,可以更專注於原本覺得麻煩、不想做或成效不佳的部分。但由於習慣使然,可能在不知不覺中又回到原本感到舒適的姿勢,這樣即使有運動,也無法改善身體的脆弱性,反而增加受傷風險、加劇身體不平衡的問題。

如果你現年40歲,造成不平衡的習慣至少有20年。因此,建立新習慣後,必須努力維持,才能真正改善失衡問題。投入金錢、時間和精力,學習可提升整體行動能力的運動方法,是投報率最高的健康投資。

延伸閱讀:
「呼吸」就能延緩老化速度?韓醫列控老秘訣:調整對身體極限的看法

把身體照顧好,就是在賺錢

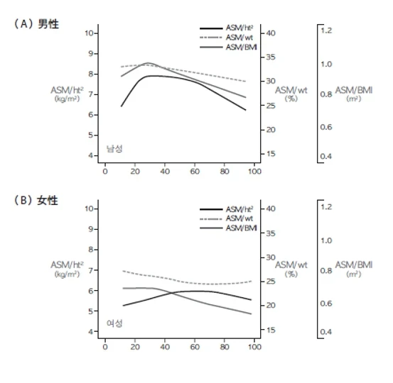
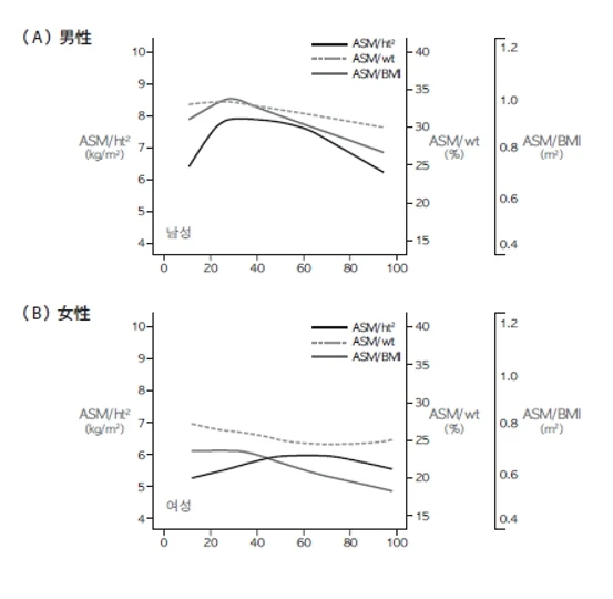
肌肉量和肌力會直接影響晚年的生活品質。以四肢肌肉量為例,比起一生中最健康的時候,步入老年的男性流失約15公斤的肌肉量,老年女性則流失約10公斤的肌肉量。如果肌少症(肌肉量減少與身體功能下降)未及時改善,比起同年齡的人,這些人在3~5年內死亡或住進照護機構的可能性會高出2~5倍。

image

根據韓國國民健康保險公團統計,65歲以上老人在過世前平均在醫療院所住院天數是460 天、安置在住宿型長照機構的天數為954天(兩者加總平均為707天)。長期住在照護機構,每年直接的經濟負擔約為3,000萬韓元(約60多萬台幣)。如持續兩年,每流失1公斤的肌肉量,經濟損失相當於400萬到600萬韓元(約8萬至13萬台幣)。除了這些成本,還應該計入無法自理生活的個人損失。

許多人願意花數千萬韓元購買抗癌藥物以延長壽命2週,那麼延續2年獨立生活的價值至少超過1億韓元(約200多萬台幣)。以2022年物價為基準,1公斤肌肉量至少價值1,400萬至1,600萬韓元(約30萬至35萬台幣)。

一些年輕人為了追求極瘦體態,不惜削減必要營養並過度鍛鍊,以消除脂肪(卻造成肌肉流失),這種現象令人擔憂。合理的方式應是尋求專業運動教練,進行全面性評估,提升行動協調性。然而,不良的社會價值觀及炫耀型行為已對健康生活造成傷害。

保持健康需透過規律、認真且充足的運動。每週應至少進行2.5小時中強度運動,若能提升至5小時更佳。中強度運動包含慢速游泳、快走、雙打網球、會流汗的瑜伽等,通常會出汗、有點喘。高強度運動如跑步、競速游泳、網球單打、時速16公里以上的單車騎乘、跳繩及高強度間歇訓練(HIIT)等,僅需要中強度運動時間的一半,便能達到相似效果。

根據健康指引,每週至少進行3次運動,並至少兩次全身肌肉訓練,可促進身體機能和健康的全面提升。妥善規劃運動方式,是身體長期健康的關鍵。

(本文摘自/你也可以延緩衰老的速度:不變老、不發胖、不生病、不焦慮, 4 個健康習慣,重設你的身體/天下雜誌)


歡迎加入《優活健康網》line好友,更多醫療新知搶先看!

記者及編輯團隊

《優活健康網》有專業的記者及編輯團隊,內容整合醫學專業、健康生活乃至關係心理學等相關文章,致力為讀者提供最正確的健康認知與保健常識。

你可能還會想看
加 uho 好友
熱門話題
Menu